Algèbre 2 —

Vector Spaces, Linear Maps, Matrices, Change of Bases, and Linear Systems

💳 الدفع بالبطاقة الذهبية سعر الدورة: 1500 دج

Teacher : Pr.Nasreddine

جميع الفيديوهات مشروحة باللغة العربية بأسلوب مبسّط وواضح لفهم التطبيقات الخطية بسهولة.

📩 Contact us on Instagram — for questions INSTAGRAM

Chaptre 02 : Linear Maps

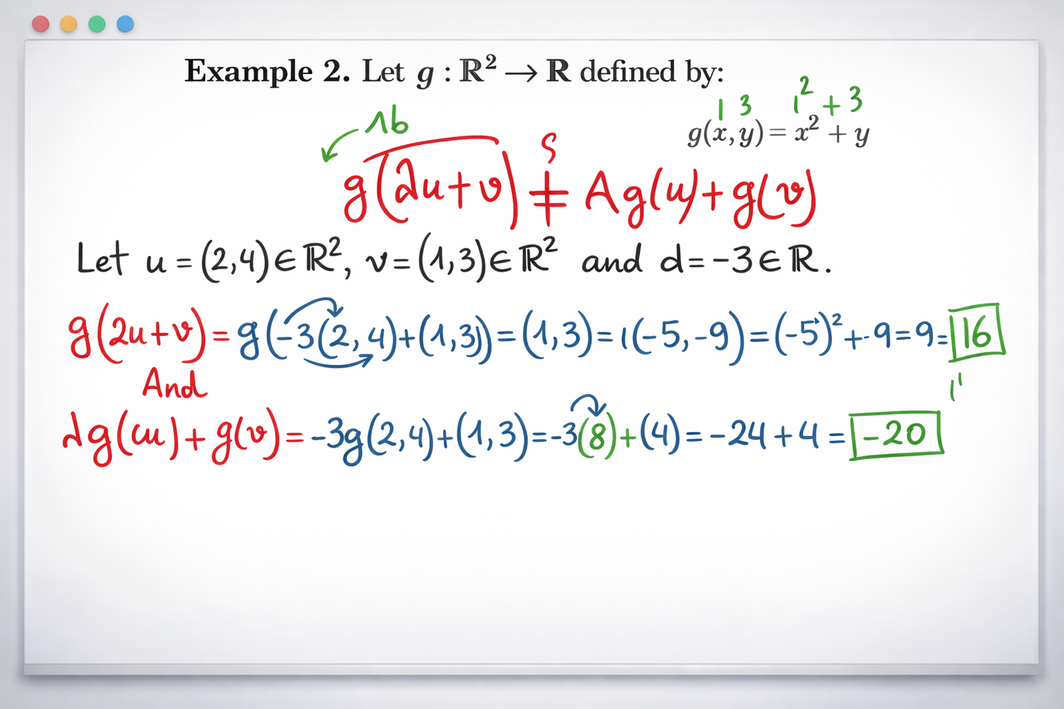
1. Linear Maps Basics

Vidéo 2

V1.2 | Recall Essential | Key concepts for Linear Maps Part 01

🔒 Locked

🔒 Veuillez vous inscrire
Vidéo 3

V1.3 | Key Sets and Structures | Essential mathematical structures you must know.

🔒 Locked

🔒 Veuillez vous inscrire

2. Kernel, Image and Rank

Vidéo 4

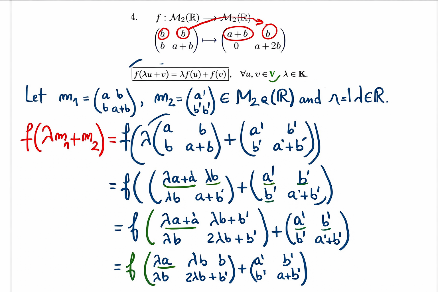
V2.1 | Checking Linearity: Methods to verify if a map is linear.

🔒 Locked

🔒 Veuillez vous inscrire
Vidéo 5

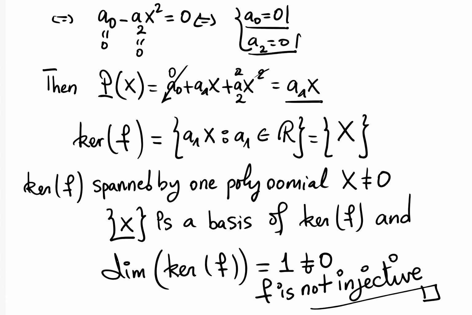
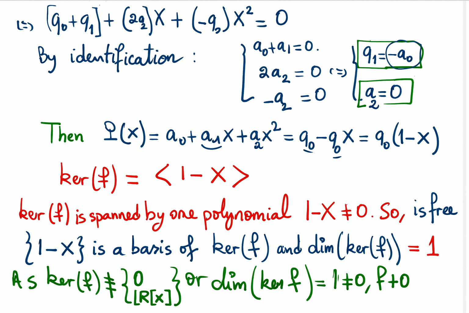
V2.2 | Kernel of Linear Maps: Finding and understanding ker(f).

🔒 Locked

🔒 Veuillez vous inscrire
Vidéo 6

V2.3 | Rank-Nullity Theorem: Using the relation dim(V) = rank(f) + nullity(f).

🔒 Locked

🔒 Veuillez vous inscrire
Vidéo 7

V2.4 | Image of Linear Maps. First Method: Determining the subspace Im(f).

🔒 Locked

🔒 Veuillez vous inscrire
Vidéo 8

V2.5 | Image of Linear Maps: Second Method

🔒 Locked

🔒 Veuillez vous inscrire

3. Exercises

Vidéo 9

V3.1 | Exercise 01 | ENSIA 2026.

🔒 Locked

🔒 Veuillez vous inscrire
Vidéo 10

V3.2 | Exercise 02 | ENSIA 2026.2.

🔒 Locked

🔒 Veuillez vous inscrire
Vidéo 11

V3.3 | Exercise 03 | University of Nice Sophia Antipolis.

🔒 Locked

🔒 Veuillez vous inscrire
Vidéo 12

V3.4 | Exercise 04 | University of Blida 01.

🔒 Locked

🔒 Veuillez vous inscrire

4. Tests and Exams

Vidéo 13

V4.1 | Test 01 - USTHB 2025.

🔒 Locked

🔒 Veuillez vous inscrire
Vidéo 14

V4.2 | Test 02 - Computer Science | USTHB 2025.

🔒 Locked

🔒 Veuillez vous inscrire
Vidéo 15

V4.3 | Test 03 - USTHB 2025.

🔒 Locked

🔒 Veuillez vous inscrire
Vidéo 16

V4.4 | Test 04 - Mathematics Track.

🔒 Locked

🔒 Veuillez vous inscrire
Vidéo 17

V5.1 | Exam 01 - (09 pts) USTHB 2025.

🔒 Locked

🔒 Veuillez vous inscrire
Vidéo 18

V5.2 | Exam 02 - Computer Science Exam - USTHB 2023.

🔒 Locked

🔒 Veuillez vous inscrire
Vidéo 19

V5.3 | Exam 03 Resit Exam - USTHB 2025.

🔒 Locked

🔒 Veuillez vous inscrire
Vidéo 20

V5.4 | Exam 04 General Exam - USTHB.

🔒 Locked

🔒 Veuillez vous inscrire
Vidéo 21

V5.5 | Exam - Boumerdes.

🔒 Locked

🔒 Veuillez vous inscrire

Chaptre 03 : Matrices (Les matrices)

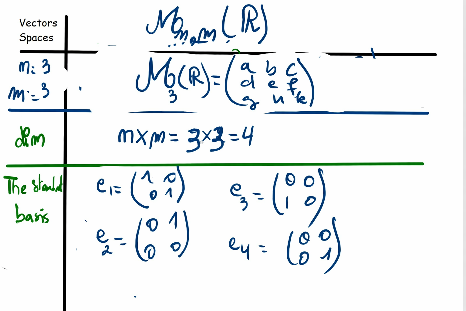
1. Matrix Basics

Matrices 2

V1.2 | Sum and Difference | Adding and subtracting matrices entry-wise.

🔒 Locked

🔒 Veuillez vous inscrire
Matrices 3

V1.3 | Scalar Multiplication — Multiplying a matrix by a scalar.

🔒 Locked

🔒 Veuillez vous inscrire
Matrices 4

V1.4 | Matrix Multiplication — Product of two matrices and main properties.

🔒 Locked

🔒 Veuillez vous inscrire
Matrices 5

V1.5 | Matrix Transpose — Interchanging rows and columns.

🔒 Locked

🔒 Veuillez vous inscrire
Matrices 6

V1.6 | Trace of a Matrix — Sum of diagonal elements.

🔒 Locked

🔒 Veuillez vous inscrire

2. Advanced Matrix Tools

Matrices 7

V1.7 | Matrix Row Reduction — Transforming matrices into echelon form.

🔒 Locked

🔒 Veuillez vous inscrire
Matrices 8

V1.8 | Matrix Power — Computing powers of matrices.

🔒 Locked

🔒 Veuillez vous inscrire
Matrices 9

V1.9 | Matrix Power — Second example — Computing powers of matrices.

🔒 Locked

🔒 Veuillez vous inscrire
Matrices 9

V1.10 | Matrix power -- Correction Test USTHB 2026.

🔒 Locked

🔒 Veuillez vous inscrire

3. Determinants

Matrices 10

V2.1 | Determinant of a 2x2 Matrix.

🔒 Locked

🔒 Veuillez vous inscrire
Matrices 11

V2.2 | Determinant of 3x3 Matrix.

🔒 Locked

🔒 Veuillez vous inscrire
Matrices 12

V2.3 | Determinant 3x3 Matrix — Exercise.

🔒 Locked

🔒 Veuillez vous inscrire
Matrices 13

V2.4 | Sarrus Method — Determinant 3x3 Matrix.

🔒 Locked

🔒 Veuillez vous inscrire

4. Matrix Inverse

Matrices 14

V3.1 | The Cofactor Method. First Method for Determining the Inverse of a Matrix.

🔒 Locked

🔒 Veuillez vous inscrire
Matrices 15

V3.2 | The Gaussian Elimination Method: Second Method for Determining the Inverse of a Matrix.

🔒 Locked

🔒 Veuillez vous inscrire
Matrices 16

V3.3 | The Annihilating Polynomial Method: Third Method for Determining the Inverse of a Matrix.

🔒 Locked

🔒 Veuillez vous inscrire

5. Matrix Exercises and Tests

Matrices 17

V4.1 | Exercise 1_ENSIA: Matrix Operations.

🔒 Locked

🔒 Veuillez vous inscrire
Matrices 18

V4.2 | Exercise 2_USTHB. Matrix Operations.

🔒 Locked

🔒 Veuillez vous inscrire
Matrices 19

V4.3 | Exercise 3_USTHB: Matrix Operations.

🔒 Locked

🔒 Veuillez vous inscrire
Matrices 20

V5.1 | Test 01 USTHB. Full correction.

🔒 Locked

🔒 Veuillez vous inscrire

6. Change of basis

Matrices 20

V6.1 | USTHB 2026 Test 2 Correction | Change of Basis: Matrix Representation.

🔒 Locked

🔒 Veuillez vous inscrire
Matrices 20

V6.2 | The Passage Matrix | USTHB 2026 Test 3 Correction | Change of Basis: Matrix Representation.

🔒 Locked

🔒 Veuillez vous inscrire

Chaptre 04 : Linear Systems

1. Linear Systems Methods

Linear Systems 2

V1.2 | Solve Linear Systems using Gaussian Elimination | Method 1 (Step-by-Step).

🔒 Locked

🔒 Veuillez vous inscrire
Linear Systems 3

V1.3 | Solve Linear Systems using Cramer’s Rule | Method 2 (Step-by-Step).

🔒 Locked

🔒 Veuillez vous inscrire
Linear Systems 4

V1.4 | Solve Linear Systems using the Inverse Matrix Method | Method 3 (Step-by-Step).

🔒 Locked

🔒 Veuillez vous inscrire

2. Linear Systems with Parameters

Linear Systems 5

V2.1 | Solve Linear Systems with Real Parameters (Step-by-Step Guide).

🔒 Locked

🔒 Veuillez vous inscrire

3. Exams and Full Corrections

Linear Systems 6

V3.1 | Exam 1: Linear Systems with Parameters (Full Correction).

🔒 Locked

🔒 Veuillez vous inscrire
Linear Systems 7

V3.2 | Exam 2: Matrix & Linear Systems with Parameters (Full Correction).

🔒 Locked

🔒 Veuillez vous inscrire

طرق الدفع

لدفع ثمن الدورة، يُرجى إرسال المبلغ عبر إحدى الوسائل التالية:
▪️ 📱 بريدي موب
▪️ 📮 بريد الجزائر (CCP)
▪️ 💳 البطاقة الذهبية عبر الإنترنت.

✅ يمكن الدفع باستخدام أي بطاقة ذهبية — سواء كانت بطاقتك الشخصية أو بطاقة أحد أفراد العائلة أو صديق، كما يمكنك أيضًا الدفع من أي مقهى إنترنت (Cyber Café) يوفر خدمة الدفع الإلكتروني.

📷 بعد إتمام الدفع، يُرجى تصوير وصل العملية (لقطة شاشة أو صورة واضحة)، ثم الانتقال إلى صفحة التسجيل لتعبئة بياناتك وإرفاق صورة الوصل.

BaridiMob

(BaridiMob) الدفع عبر بريدي موب

يرجى تحويل مبلغ الدورة عبر تطبيق BaridiMob إلى الحساب التالي:

  • 00799999001532320361 RIP :
Algérie Poste

(CCP) الدفع عبر بريد الجزائر

يرجى تحويل مبلغ الدورة عبر مركز بريد الجزائر من خلال ملء الاستمارة الورقية إلى الحساب التالي:

Clé : 61 Compte : 0015323203 Nom : DARADJ Prénom : AMAR Adresse : BOUIRA RIP : 007 99999 0015323203 61
أرسل المبلغ إلى الحساب البريدي أعلاه ثم احتفظ بصورة الوصل لإرفاقها في التسجيل.
ملاحظة: لن يتم تفعيل حسابك إلا بعد التحقق من وصل الدفع

أمثلة عن وصل الدفع

هذه أمثلة توضيحية لطرق الدفع عبر بريدي موب و بريد الجزائر. اضغط على أي صورة لمعاينتها بشكل أوضح (PDF).

BaridiMob

📱 الدفع عبر بريدي موب

وصل بريدي موب 1 وصل بريدي موب 2
وصل بريدي موب 3
Algérie Poste

📮 مثال الدفع عبر بريد الجزائر

وصل 1500 دج

هل لديك سؤال؟